Introduction
UGC NET or NTA-UGC-NET is the examination for determining the eligibility for the assistant professor and/or Junior Research Fellowship award in Indian universities and colleges. National Testing Agency examines on behalf of the University Grants Commission.
We have covered questions 1 to 25 in the first part of UGC NET Dec 2013 PAPER-III Part-1 and 26 to 50 in the second part of UGC NET Dec 2013 PAPER-III Part-2. In this article, we will cover questions 51 to 75.
Questions
51. Synchronization is achieved by a timing device called a ________ which generates a periodic train of________.
(A) clock generator, clock pulse
(B) master generator, clock pulse
(C) generator, clock
D) master clock generator, clock pulse
Answer: (D)
Explanation: Synchronization is achieved by a timing device called a clock pulse generator which generates a periodic train of clock pulses.
52. Serial access memories are useful in applications where
((A) Data consists of numbers
(B) Short access time is required
(C) Each stored word is processed differently.
(D) None of these
Answer: (D)
Explanation: Because serial access memory does not require an address, they are helpful in systems where data flows serially, such as SHIFT REGISTERS, SIPO/PISO, FIFO/LIFO QUEUES, TAPPED DELAY LINE, and so on.
53. What will be the output of the following logic diagram?

(A) x OR y
(B) x AND y
(C) x XOR y
(D) x XNOR y
Answer: (C)
Explanation: First AND Gate's output is xy';
second AND Gate's output is x'y;
So, the final output by OR gate =xy'+x'y=x XOR Y.
54. The essential difference between traps and interrupts is
(A) traps are asynchronous and interrupt are synchronous with the program.
(B) traps are synchronous and interrupt are asynchronous with the program.
(C) traps are synchronous and interrupt are asynchronous with the I/O devices.
(D) None of these.
Answer (B)
Explanation: A trap is a type of software or synchronous interrupt.
The term "interrupt" refers to a hardware-generated or asynchronous interruption.
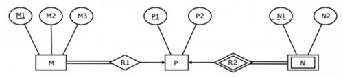
55. Consider the following ER diagram:
The minimum number of tables required to represent M, N, P, R1, R2 is

(A) 2
(B) 3
(C) 4
(D) 5
Answer: (B)
Explanation: At least three tables are required.
P(P1,P2), MR(M1,M2,M3,P1), P(P1,P2), N (P1,N1,N2).
M1 is the primary key of table MR.
P1 is the primary key of table P, and
The primary key of N is P1, N1.
56. Consider the following schemas:
Branch = (Branch-name, Assets, Branch-city)
Customer = (Customer-name, Bank name, Customer-city)
Borrow = (Branch-name, loan number, customer account-number)
Deposit = (Branch-name, Account number, Customer-name, Balance)
Using relational Algebra, the Query that finds customers who have a balance of more than 10,000 is _______
(A) πcustomer-name (σbalance > 10000(Deposit)
(B) σcustomer-name (σbalance > 10000(Deposit)
(C) πcustomer-name (σbalance > 10000(Borrow)
(D) σcustomer-name (πbalance > 10000(Borrow)
Answer: (A)
Explanation:
σbalance >10000(Deposit) - select all tuples with balance >10000.
πcustomer−name- give only customer−name attribute from select query
57. Find the false statement:
(A) The relationship construct known as the weak relationship type was defined by Dey, Storey & Barron (1999)
(B) A weak relationship occurs when two relationship types are linked by either the Event-Precedent sequence or Condition-Precedent sequence.
(C) Conceptual model is not an accurate representation of the “Universe of interest”.
(D) Ternary, Quaternary, and Quintary relationships are shown through a series of application scenario’s and vignette’s.
Answer: ( C )
Explanation: Detailed the requirement to model the process using ER modeling grammar and have implicitly assumed that this process takes care of that namely conceptual model. The conceptual model thus developed is a true representation of the "universe of interest" being modeled.
58. Consider the table Student (stuid, name, course, marks).
Which one of the following two queries is correct to find the highest marks student in course 5?
Q.1. Select S.stuid
From student S
Where not exists
(select ∗ from student e where ecourse = ‘5’ and emarks ≥ smarks)
Q.2. Select s.stu.id
From student S
Where s ⋅ marks > any
(select distinct marks from student S where s.course = 5)
(A) Q. 1
(B) Q. 2
(C) Both Q. 1 and Q. 2
(D) Neither Q. 1 nor Q. 2
Answer: (B)
Explanation:
1. select s.stuid from student S
where not exist (select * from student e where ecourse ='5' and e marks ≥ smarks) = false
select s.stuid from student S
where not exist (select * from student e where ecourse ='5' and e marks > smarks) = correct
2. select s.stuid From student S
where s.marks > any (select distinct marks from student S where s.course =5) = false
select S.stuid From student S
where s.marks >All (select distinct marks from student S where s.course =5) = correct
59. Armstrong (1974) proposed a systematic approach to derive functional dependencies. Match the following w.r.t. functional dependencies:
List – I List – II
a. Decomposition rule i. If X → Y and Z → W then {X, Z} → {Y, W}
b. Union rule ii. If X → Y and {Y, W}→Z then {X, W} → Z
c. Composition rule iii. If X → Y and X→ Z then X → {Y, Z}
d. Pseudo transitivity rule iv. If X → {Y, Z} then X → Y and X → Z
Codes:
a b c d
(A) iii ii iv i
(B) i iii iv ii
(C) ii i iii iv
(D) iv iii i ii
Answer: (D)
Explanation: Composition rule: if x->y and z->w then xz-> yw
Union rule : If x->y , x->z then x->yz
Decomposition rule : If x->yz then x->y , x->z
Pseudo transitivity rule : If x-> y and yw->z then xw-> z [ y replace by x].
60. Match the following:
List – I List – II
a. Secondary Index i. Functional Dependency
b. Nonprocedural Query Language ii. B-Tree
c. Closure of set of Attributes iii. Relational Algebraic Operation
d. Natural JOIN iv. Domain Calculus
Codes:
a b c d
(A) i ii iv iii
(B) ii i iv iii
(C) i iii iv ii
(D) ii iv i iii
Answer: (D)
Explanation: It is simple to see that, the B-tree has a secondary index.
Relational Algebraic Operation is a natural join.
Functional Dependency is connected to the closure of a collection of characteristics.
Domain Calculus is connected to Non-procedural Query Language.
As a result, the answer is D.
The primary index is: The main index is an index on a collection of fields that contains the field's unique primary key and is guaranteed not to include duplicates. Employee ID is a good example.
A secondary index is: A secondary index is a non-primary index that may contain duplicates. eg. A good example would be the employee's name. Because the values of the employee's name may be similar.
61. Which of the following is not true with respect to a trackball and/or spaceball?
I. A trackball is a two-dimensional positioning device while a spaceball provides six degrees of freedom.
II. Unlike the trackball, a spaceball does not actually move.
III. A trackball is a three-dimensional positioning device while a spaceball provides six degrees of freedom.
(A) I & II
(B) II & III
(C) II only
(D) III only
Answer: (D)
Explanation: A spaceball is a gadget with "six degrees of freedom." It supports complete rotation in several directions, just like a CAD model. A trackball, on the other hand, is simply a mouse. Rather than having the mouse platform move the ball, you manually actuate it. It only moves the pointer.
62. Which of the following statement(s) is (are) true?
I. Two successive translations are additive.
II. Two successive rotations are additive.
III. Two successive scaling operations are multiplicative.
(A) I and II
(B) I and III
(C) II and III
(D) All the above
Answer: (D)
Explanation: Statement II should be two successive rotations that are additive
Two consecutive spins are cumulative, according to Statement II.
1. Translation is additive since it is simply an addition by translating a vector or displacement.
2. Because rotation is done at particular angles. As a result, two subsequent rotations are additive (angles will be added colou or subtracted)
3. Scaling is accomplished by multiplying by the scaling vector, hence all scaling is multiplicative.
63. Given below are three basic rules:
I. Squash and Stretch
II. Slow-in and Slow-out
III. To stage the action properly
These rules are applied in the case of
(A) Rendering
(B) Morphing
(C) Animation
(D) All the above
Answer: ( C )
Explanation: The animation was made with little or no reference to nature out of these classes grace a new way of drawing moving human figures and animals.
The principle and rules of animation are:
Timing, ARCS, Anticipation, Squash & stretch, Appeal, Slow in slow out, and stage the action properly
64. Which of the following points lies on the same side as the origin, with reference to the line 3x + 7y = 2?
(A) (3, 0)
(B) (1, 0)
(C) (0.5, 0.5)
(D) (0.5, 0)
Answer: (D)
Explanation: The x and y-intercepts of line 3x+7y=2 on axes are (2/3,0) and (0,2/7), respectively, hence all points higher than (0.66,0.28) will be on the opposite side of the line with respect to the origin and all points less than (0.66,0.28) will lie on the same side of the line with respect to the origin.
As a result, only points 0.5 and 0 will be on the same side as the origin.
65. The transformation matrix required for conversion of CMY color model to RGB color model is given as
(A) [R G B] = [C M Y] - [1 1 1]
(B) [R G B] = [C M Y] - [1 2 3]
(C) [R G B] = [1 1 1] - [C M Y]
(D) [R G B] = [C M Y] - [0.5 0.5 0.5]
Answer: ( C )
Explanation: The RGB model is an additive model, which means that the colours in the light combine to generate new colours. The CMY (Cyan-Magenta-Yellow) model is a subtractive model for colour absorption.
66. What steps shall be required to rotate an object about the point P1 (as shown in fig. 1) and its placement such that what was at P1 is now reduced and is at P2 (as shown in fig. 2)?

Answer D
Explanation: It is a hybrid transformation. Because we need to perform operations on p1, we must translate point p1 to origin.
1st step: move point p1 to the origin
2nd step: Rotate
3rd step: scale
4th step: convert to p2
67. In Unix, how do you check that two given strings a and b are equal?
(A) test $a –eq $b
(B) test $a –equal $b
(C) test $a = $b
(D) Sh –C test $a = = $b
Answer: ( C )
Explanation: test $a = $b; If the strings are the same, the function will return True.
68. In Windows 2000 operating system, all the processor-dependent code is isolated in a dynamic link library called
(A) NTFS file system
(B) Hardware abstraction layer
(C) Microkernel
(D) Process Manager
Answer: (B)
Explanation: The hardware abstraction layer is a logical division of code that acts as an abstraction layer between computer physical hardware and its software. It offers a driving interface via which a program can communicate with the hardware. The primary goal of the hardware abstraction layer is to hide different hardware architectures from the operating system by providing a consistent interface to system peripherals.
69. To place a sound into a word document, the following feature of windows is used:
(A) Clipboard
(B) Task switching
(C) C Win App
(D) OLE
Answer: (D)
Explanation: Object Linking and Embedding (OLE) is a technology that allows you to embed and link to documents and other objects.
The main advantage of OLE is that it allows you to add different types of data to a document from different applications, such as a text editor and an image editor.
This generates a compound document as well as a master file to which the document refers.
70. Translation Look-aside Buffer (TLB) is
(A) a cache memory in which item to be searched is compared one by one with the keys.
(B) a cache memory in which the item to be searched is compared with all the keys simultaneously.
(C) an associative memory in which items to be searched is compared one by one with the keys.
(D) an associative memory in which the item to be searched is compared with all the keys simultaneously.
Answer: (D)
Explanation: Look-aside in Translation The buffer (TLB) is an associative memory in which the item to be searched is compared to all keys at the same time. When an object is introduced to the associative memory, it is compared to all keys at the same time. If the object is found, the value field associated with it is returned.
71. The simplest way of deadlock recovery is
(A) Rollback
(B) Preempt resource
(C) Lock one of the processes
(D) Kill one of the processes
Answer: (D)
Explanation: Recovery by killing processes is the crudest but simplest technique to break a stalemate.
- Kill one of the processes in the deadlock cycle: the resources are distributed to the remaining processes.
– Select a procedure that can be restarted from the beginning.
72. The directory structure used in the Unix file system is called
(A) Hierarchical directory
(B) Tree-structured directory
(C) Directed acyclic graph
(D) Graph structured directory
Answer: (C)
Explanation: Unix file system directory structure is a DAG due to presence of hard links which makes sharing of files & subdirectories among different directories possible
73. Which statement is not true about process O in the Unix operating system?
(A) Process O is called the init process.
(B) Process O is not created by the fork() system call
(C) After forking process 1, process O becomes the swapper process.
(D) Process O is a special process created when the system boots.
Answer: (A)
Explanation: Process 0 is a unique process that is launched when the system boots. Process 1 (init process) is Process 0's child. Process 1 is the ancestor of all other processes in UNIX. Process 1 is where all new processes are created (init process).
74. Which of the following commands would return process_id of sleep command?
(A) Sleep 1 and echo $?
(B) Sleep 1 and echo $#
(C) Sleep 1 and echo $×
(D) Sleep 1 and echo $!
Answer: (D)
Explanation:
| $! | PID of last background command | ls & echo "PID of ls = $!" |
75. Possible thread states in Windows 2000 operating system include
(A) Ready, running, and waiting
(B) Ready, standby, running, waiting, transition, and terminated
(C) Ready, running, waiting, transition, and terminated
(D) Standby, running, transition, and terminated
Answer: (B)
Explanation: Ready, standby, running, waiting, transition, and terminated are the six potential thread states. The term "ready" refers to the state of being prepared to run. The highest-priority ready thread is placed on standby, indicating that it will be the next thread to run. In a multiprocessor system, each processor has one thread in the standby state. When a thread executes on a processor, it is said to be running.
FAQs
What is the purpose of the UGC NET Exam?
UGC NET is an abbreviation for University Grants Commission National Eligibility Test. It is a national-level test used to evaluate eligibility for lectureships and Junior Research Fellowships (JRF) in Indian institutions and colleges.
Can I apply for UGC NET after completing a PG diploma?
A PGDM is equivalent to a master's degree. So, if you hold a PG Diploma from a recognized university, you are eligible to apply for the exam.
What is the minimum age for applying to the UGC NET Exam?
According to the UGC NET Eligibility, there is no age limit for assistant professors, but candidates for JRF must be at least 31 years old.
Will distance learning be accepted for the UGC NET?
Yes, distance education is acceptable for the UGC NET Exam, provided you are enrolled in a UGC accredited university/institute.
What is the UGC NET syllabus?
The NTA administers the UGC NET Exam in two parts: General Paper-1 (common to all topics) and Paper-2 (subject-specific). The syllabus for each Paper 2 subject varies. You can view the entire UGC NET Syllabus.
Conclusion
In this article, we have extensively discussed some of the previous year's UGC NET questions.
We hope that this blog has helped you enhance your knowledge regarding the UGC NET questions and if you would like to learn more, check out our articles on the UGC NET exam, UGC NET Dec 2013 PAPER-III Part-1, UGC NET Dec 2013 PAPER-III Part-2.
Refer to our guided paths on Coding Ninjas Studio to learn more about DSA, Competitive Programming, JavaScript, System Design, etc.
Enroll in our courses and refer to the mock test and problems available.
Take a look at the interview experiences and interview bundle for placement preparations.




